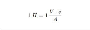
Đơn vị của cuộn cảm là Henry (H) – được đặt theo tên nhà vật lý Joseph Henry, biểu thị khả năng tích trữ năng lượng dưới dạng từ trường của cuộn dây khi có dòng điện chạy qua. Trong hệ đơn vị SI, 1 Henry tương đương với 1 volt–giây trên mỗi ampe (1 V·s/A). Hiểu đơn giản, một cuộn cảm có độ tự cảm 1 Henry sẽ sinh ra suất điện động tự cảm 1 volt khi dòng điện qua nó thay đổi với tốc độ 1 ampe mỗi giây (1 A/s). Đại lượng độ tự cảm (L) cho biết cuộn cảm đó có khả năng tạo ra từ trường mạnh hay yếu, cũng như mức độ cản trở sự thay đổi dòng điện trong mạch. Trong thực tế, người ta thường dùng các bội số nhỏ hơn như milliHenry (mH = 10⁻³ H), microHenry (µH = 10⁻⁶ H) hoặc nanoHenry (nH = 10⁻⁹ H) để đo những cuộn cảm có giá trị nhỏ trong các mạch điện tử và thiết bị điều khiển công nghiệp.
Cuộn cảm (Inductor) là linh kiện điện tử thụ động có cấu tạo từ dây dẫn quấn quanh lõi sắt hoặc lõi không khí. Khi dòng điện chạy qua, cuộn cảm sinh ra từ trường bao quanh và có khả năng chống lại sự thay đổi của dòng điện.
Trong mạch điện, cuộn cảm thường được ký hiệu bằng chữ L, viết tắt của “Inductance”, thể hiện độ tự cảm – đại lượng đặc trưng cho khả năng tích trữ năng lượng từ trường của cuộn dây.
Đơn vị đo của cuộn cảm là Henry (ký hiệu: H) – được đặt theo tên nhà vật lý người Mỹ Joseph Henry.
Henry là đơn vị đo độ tự cảm trong hệ đo lường SI (International System of Units).
Khi dòng điện trong cuộn dây thay đổi với tốc độ 1 ampe mỗi giây (1 A/s), nó sinh ra một suất điện động tự cảm 1 volt (1 V) trong chính cuộn dây đó.
Nói cách khác, Henry (H) thể hiện khả năng sinh ra điện áp cảm ứng khi dòng điện biến thiên, đồng thời phản ánh mức độ cản trở sự thay đổi dòng điện của cuộn cảm.
Trong hệ SI:

Cuộn cảm (Inductor) là một linh kiện điện tử thụ động được tạo thành từ dây dẫn quấn thành nhiều vòng quanh lõi sắt hoặc lõi không khí. Khi có dòng điện chạy qua, cuộn cảm sinh ra từ trường và có khả năng chống lại sự thay đổi của dòng điện trong mạch.
Trong các thiết bị điện và mạch điện tử, cuộn cảm được dùng phổ biến để lọc nhiễu, ổn định dòng điện và điều chỉnh tần số hoạt động.

Một cuộn cảm thường gồm:
Khi dòng điện một chiều (DC) đi qua, cuộn cảm hoạt động gần như một đoạn dây dẫn thông thường, vì không có sự thay đổi dòng điện.
Nhưng khi dòng xoay chiều (AC) chạy qua, từ trường biến thiên được tạo ra quanh cuộn dây, sinh ra suất điện động cảm ứng (điện áp ngược) – hiện tượng này được gọi là cảm ứng điện từ.
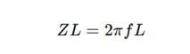
Cảm ứng này khiến cuộn cảm cản trở sự biến đổi của dòng điện, tạo ra một loại “điện trở cảm” gọi là cảm kháng (ZL).

Cảm kháng là khả năng cản trở dòng điện xoay chiều của cuộn cảm, ký hiệu là ZL, được tính theo công thức:

Trong đó:
Tần số càng cao, cảm kháng càng lớn – điều này lý giải vì sao cuộn cảm có thể chặn dòng điện cao tần nhưng cho dòng điện thấp tần đi qua.
Cuộn cảm có nhiều vai trò quan trọng trong kỹ thuật điện và điện tử:
Cuộn cảm được ứng dụng trong hầu hết các thiết bị điện – điện tử và hệ thống công nghiệp:
Bơm chìm nước thải có cánh cắt rác
Trong thực tế, giá trị độ tự cảm của nhiều cuộn dây khá nhỏ, nên người ta thường dùng các đơn vị dẫn xuất của Henry:
Ví dụ:
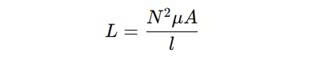
Độ tự cảm (L) phụ thuộc vào cấu tạo của cuộn dây và vật liệu lõi từ, được tính theo công thức:

Trong đó:
👉 Như vậy, độ tự cảm tăng khi số vòng dây nhiều, lõi có độ từ thẩm cao và tiết diện lớn.
Đơn vị Henry không chỉ có ý nghĩa trong lý thuyết mà còn được sử dụng rộng rãi trong thực tiễn sản xuất và kỹ thuật điện.
Một số ứng dụng phổ biến của cuộn cảm trong công nghiệp và điện tử:
Ví dụ: Trong bộ điều khiển bơm hóa chất hoặc máy bơm công nghiệp, cuộn cảm có đơn vị tính bằng mH đến H, giúp giảm nhiễu điện từ (EMI) và bảo vệ linh kiện công suất như MOSFET, IGBT.
Tất cả các dòng bơm Vimex đang bán chạy và sẵn hàng
Đơn vị của cuộn cảm là Henry (H) – đại diện cho khả năng tích trữ năng lượng từ trường và cản trở sự thay đổi của dòng điện. Dù chỉ là linh kiện nhỏ, nhưng cuộn cảm đóng vai trò quan trọng trong mạch điện công nghiệp, bộ nguồn, biến tần và điều khiển motor. Việc hiểu rõ đơn vị Henry, công thức và ứng dụng thực tế giúp kỹ sư điện – điện tử thiết kế và vận hành hệ thống hiệu quả, ổn định và an toàn hơn.
Công ty TNHH Vimex với nhiều năm kinh nghiệm trong lĩnh vực cung cấp các thiết bị công nghiệp đặc biệt là máy bơm công nghiệp, chúng tôi cam kết sản phẩm chính hãng, tư vấn miễn phí cho khách hàng.
Liên hệ ngay để được hỗ trợ nhé. Xin cảm ơn!
Từ khóa:
#Tin tức